Contenu
Menu
Recherche
Pied de page
Actualités
Services
Agenda
Découvrir
RECHERCHER
ACCUEIL
>
ACTUALITÉS
>
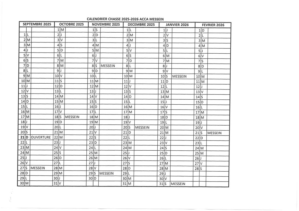
CALENDRIER DE CHASSE
1 / 2
CALENDRIER DE CHASSE
Publié le mardi 19 août 2025 - Messein
Saison 2025-2026